二噁英催化劑
二噁英催化劑(Dioxins catalyst)是指能將二噁英催化氧氣分解,生成無害的水蒸汽、二氧化碳、氯化氫的活性催化劑。

產品特性
●利用催化劑催化分解二噁英類物質,無需二次處理。
●較寬的活性窗口,滿足200~420℃運行。
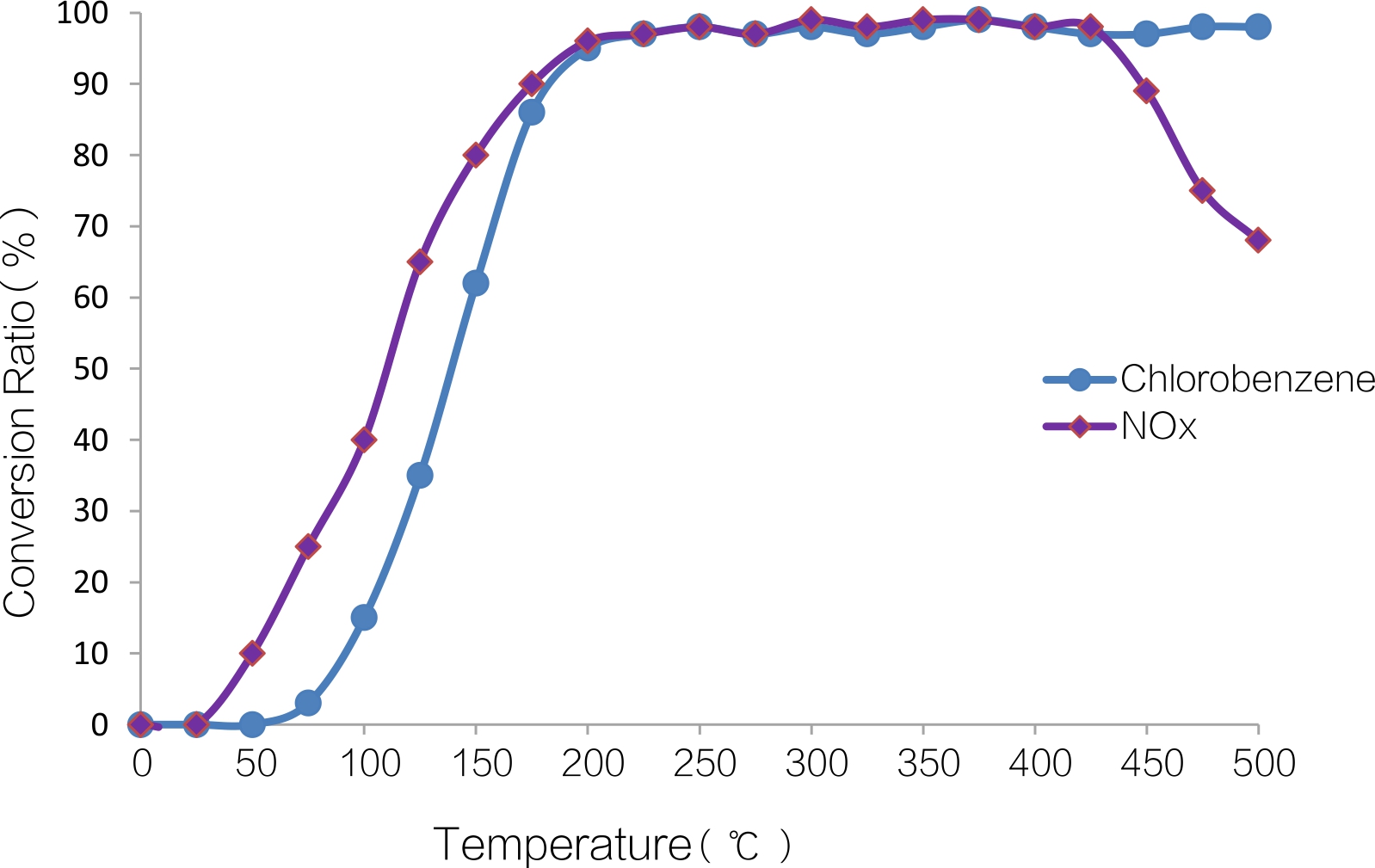
●在脫除二噁英的同時,通過使用還原劑NH3還具備去除
氮氧化物的效果。
●具有較高的分解性能,使用壽命長。
●可再生利用,經濟性優于活性炭吸附工藝。
●可在現有的設備基礎上進行改造安裝。
性能參數
● 脫二噁英效率:在200~420℃溫度區間脫除率〉98%。●比表面積:≥70 m2 /g。
●抗壓強度:軸向抗壓強度≥3.5MPa,徑向抗壓強度≥1.2MPa。

應用背景
城市生活垃圾焚燒處理方法目前已成為各國處理廢棄物主要的和有效的技術之一。但是,垃圾焚燒過程中不可避免地會產生大量的污染物,如顆粒物、酸性氣體、重金屬以及二噁英。這些污染物對人體健康存在著極大的危害,而尤以二噁英的毒害大,去除難度也高。二噁英是一類無色無味、毒性巨大的脂溶性物質,化學性質非常穩定,在自然環境中難以降解,在人體內會長期累積存留,誘發癌癥,只有在催化劑的作用下才能完全分解。
2007年4月,國務院批準《國家實施計劃》,對二噁英等持久性有機污染物污染防治工作提出了明確要求。
2010年10月9日,國家環保部等9個部委發布《關于加強二噁英污染防治 指導意見》,提出到2015年,重點行業二噁英排放強度降低10%。
2012年2月1日,環保部同外交部、國家發改委等14個部委聯合印發了《全國主要行業持久性有機污染物防治3 “十二五”規劃》。要求達到0.1ng/Nm 的二噁英排放要求。
實施措施
本公司與清華大學環境學院通力合作開發出新型脫二噁英催化劑。將脫二惡英的催化劑制成蜂窩式,使用鋼制框架組裝,布置在反應器內。二噁英脫除率高可達99%,適用溫度為200~420℃。
運行機理
催化劑脫二噁英催化劑催化降解屬于末端處理,利用催化本身具有的活性位的吸附和氧化作用,在加熱的情況下,進行化氧化,終使二噁英類物質分子轉化為二氧化碳、水和鹽酸無污染的小分子產物。
PCDD/Fs+O2→CO2 +H2 O+HCl (催化劑)
另外還有脫硝的效果,具有脫硝脫二噁英為一體,實現多染的協同控制。
NOX +O2 +NH3→N2 +H2 O (催化劑)

